Прикладная математика
                               Cправочник математических формул
                                          Примеры и задачи с решениями

Алфавитный указатель  а б в г д е ж з и к л м н о п р с т у ф х ц ч ш щ э ю я  

  • Математические формулы

  • Примеры решения задач

  • Некоторые постоянные
  • Элементарная геометрия
  • Геометрические преобразования
  • Начала анализа и алгебры
  • Уравнения и неравенства
  • Аналитическая геометрия
  • Высшая алгебра
  • Дифференциальное исчисление
  • Дифференциальная геометрия
  • Интегральное исчисление
  • Комплексный анализ
  • Элементы теории поля
  • Тензорное исчисление
  • Дифференциальные уравнения
  • Математическая логика
  • Теория вероятностей и
     математическая статистика





     Примеры решения задач / Аналитическая геометрия на плоскости и в пространстве / Кривые второго порядка: окружность, эллипс / 1 2

решения других задач по данной теме


г) b = 8; e = 0,6; , отсюда . Напишем соотношение a2 - c2 = b2 и подставим в него c = 0,6a; b = 8. Получим a2 = 0,36a2 = 64; 0,64a2 = 64; a2 = 100.

Уравнение эллипса будет иметь вид

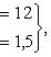
д) a + b = 12, .

Для определения уравнения эллипса надо знать a и b. Нам известно, что ; c2 = 18; a2 - b2 = c2.

Поэтому (a + b)(a - b) = 18. Подставляя сюда a + b = 12, найдем, что a - b = 1,5.

Решая систему уравнений

получим, что a = 6,75, b = 5,25. Уравнение эллипса запишется в виде


-1-2-


решения других задач по данной теме



© 2006-2026 ПМ298
info@pm298.ru
     Электронный справочник по математике: математические формулы по алгебре и геометрии, высшая математика, математика, математические формулы. Задачи с решениями, примеры и задачи по математике, бесплатные решения задач, дискриминант , планиметрия , интегралы , подмножество

     Примеры решения задач: составить простейшее уравнение эллипса, зная, что: а) его полуоси a = 6, b = 4; б) расстояние между фокусами 2c = 10, а большая полуось 2a = 16; в) большая полуось a = 12, а эксцентриситет e = 0,5; г) малая полуось b = 8, а эксцентриситет e = 0,6; д) сумма полуосей a + b = 12, а расстояние между фокусами 2c=6*2^1/2.