Прикладная математика
                               Cправочник математических формул
                                          Примеры и задачи с решениями

Алфавитный указатель  а б в г д е ж з и к л м н о п р с т у ф х ц ч ш щ э ю я  

  • Математические формулы

  • Примеры решения задач

  • Некоторые постоянные
  • Элементарная геометрия
  • Геометрические преобразования
  • Начала анализа и алгебры
  • Уравнения и неравенства
  • Аналитическая геометрия
  • Высшая алгебра
  • Дифференциальное исчисление
  • Дифференциальная геометрия
  • Интегральное исчисление
  • Комплексный анализ
  • Элементы теории поля
  • Тензорное исчисление
  • Дифференциальные уравнения
  • Математическая логика
  • Теория вероятностей и
     математическая статистика





     Примеры решения задач / Аналитическая геометрия на плоскости и в пространстве / Кривые второго порядка: окружность, эллипс / 1 2

решения других задач по данной теме


Составить простейшее уравнение эллипса, зная, что:
а) его полуоси a = 6, b = 4;
б) расстояние между фокусами 2c = 10, а большая полуось 2a = 16;
в) большая полуось a = 12, а эксцентриситет e = 0,5;
г) малая полуось b = 8, а эксцентриситет e = 0,6;
д) сумма полуосей a + b = 12, а расстояние между фокусами .


Решение.

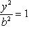
а) Простейшее уравнение эллипса имеет вид . Подставляя сюда a = 6, b = 4, получим

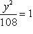
б) Имеем 2c = 10; c = 5; 2a = 16; a = 8.

Чтобы написать уравнение эллипса, следует найти малую полуось b. Между величинами a, b и c у эллипса существует зависимость a2 - b2 = c2, или b2 = a2 - c2. В нашем случае b2 = 64 - 25 = 39, и уравнение эллипса будет иметь вид

в) a = 12; e = 0,5; известно, что ; в этой формуле неизвестно c. Для его определения получаем уравнение

отсюда c = 6.

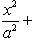
Теперь, зная, что a = 12, c = 6, пользуясь отношением a2 - c2 = b2, найдем, что b2 = 144 - 36 = 108; a2 = 144.

Уравнение будет .


-1-2-


решения других задач по данной теме



© 2006-2026 ПМ298
info@pm298.ru
     Электронный справочник по математике: математические формулы по алгебре и геометрии, высшая математика, математика, математические формулы. Задачи с решениями, примеры и задачи по математике, бесплатные решения задач, астроида , дискриминант , стереометрия , неравенства

     Примеры решения задач: составить простейшее уравнение эллипса, зная, что: а) его полуоси a = 6, b = 4; б) расстояние между фокусами 2c = 10, а большая полуось 2a = 16; в) большая полуось a = 12, а эксцентриситет e = 0,5; г) малая полуось b = 8, а эксцентриситет e = 0,6; д) сумма полуосей a + b = 12, а расстояние между фокусами 2c=6*2^1/2.