Прикладная математика
                               Cправочник математических формул
                                          Примеры и задачи с решениями

Алфавитный указатель  а б в г д е ж з и к л м н о п р с т у ф х ц ч ш щ э ю я  

  • Математические формулы

  • Примеры решения задач

  • Некоторые постоянные
  • Элементарная геометрия
  • Геометрические преобразования
  • Начала анализа и алгебры
  • Уравнения и неравенства
  • Аналитическая геометрия
  • Высшая алгебра
  • Дифференциальное исчисление
  • Дифференциальная геометрия
  • Интегральное исчисление
  • Комплексный анализ
  • Элементы теории поля
  • Тензорное исчисление
  • Дифференциальные уравнения
  • Математическая логика
  • Теория вероятностей и
     математическая статистика





     Формулы / Интегральное исчисление / Таблицы неопределенных интегралов / Интегралы, содержащие тригонометрические функции / 1 2 3 4 5 6 7 8 9 10 11 12 13

решения некоторых задач

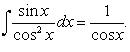
     71.

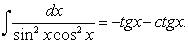
     72.

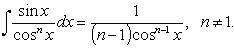
     73.

     74.

     75.

     76.

     77.

     78.

     79.

     80.


решения некоторых задач


-1-2-3-4-5-6-7-8-9-10-11-12-13-



© 2006- 2026  ПМ298
info@pm298.ru
     Электронный справочник по математике: математические формулы по алгебре и геометрии, высшая математика, математика, математические формулы. Задачи с решениями, примеры и задачи по математике, бесплатные решения задач, уравнение , определение гиперболических функций

     Интегралы, содержащие тригонометрические функции.