Прикладная математика
                               Cправочник математических формул
                                          Примеры и задачи с решениями

Алфавитный указатель  а б в г д е ж з и к л м н о п р с т у ф х ц ч ш щ э ю я  

  • Математические формулы

  • Примеры решения задач

  • Некоторые постоянные
  • Элементарная геометрия
  • Геометрические преобразования
  • Начала анализа и алгебры
  • Уравнения и неравенства
  • Аналитическая геометрия
  • Высшая алгебра
  • Дифференциальное исчисление
  • Дифференциальная геометрия
  • Интегральное исчисление
  • Комплексный анализ
  • Элементы теории поля
  • Тензорное исчисление
  • Дифференциальные уравнения
  • Математическая логика
  • Теория вероятностей и
     математическая статистика





     Примеры решения задач / Интегральное исчисление / Определенные интегралы

решения других задач по данной теме


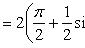
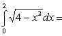
Вычислить интеграл , произведя замену переменной x = 2 sin t.


Решение.

Так как x = 2 sin t, то dx = 2 cos t dt. Новые пределы интегрирования будут

0 = 2 sin tt = 0

2 = 2 sin tt = π/2

Подставляя полученные значения в исходный интеграл, получаем


решения других задач по данной теме



© 2006-2026 ПМ298
info@pm298.ru
     Электронный справочник по математике: математические формулы по алгебре и геометрии, высшая математика, математика, математические формулы. Задачи с решениями, примеры и задачи по математике, бесплатные решения задач, гипербола , многоугольники , производная , предикаты

     Вычислить определенный интеграл произведя замену переменной.