Прикладная математика
                               Cправочник математических формул
                                          Примеры и задачи с решениями

Алфавитный указатель  а б в г д е ж з и к л м н о п р с т у ф х ц ч ш щ э ю я  

  • Математические формулы

  • Примеры решения задач

  • Некоторые постоянные
  • Элементарная геометрия
  • Геометрические преобразования
  • Начала анализа и алгебры
  • Уравнения и неравенства
  • Аналитическая геометрия
  • Высшая алгебра
  • Дифференциальное исчисление
  • Дифференциальная геометрия
  • Интегральное исчисление
  • Комплексный анализ
  • Элементы теории поля
  • Тензорное исчисление
  • Дифференциальные уравнения
  • Математическая логика
  • Теория вероятностей и
     математическая статистика





     Примеры решения задач / Интегральное исчисление / Двойные и n-кратные интегралы

решения других задач по данной теме


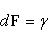
Даны два материальных тела: T1 с плотностью ρ1(x, y, z) и T2 с плотностью ρ2(x, y, z). Найти силу F притяжения тела T1 телом T2.


Решение.

Пусть M(x, y, z) – произвольная точка тела T1, а M' (x', y', z') – произвольная точка тела T2. Введем (бесконечно малые) элементы объема dV = dx dy dz и dV' = dx' dy' dz' с центрами в точках M и M' (см. рисунок).

Масса элемента объема dV равна ρ1(x, y, z)dx dy dz, а масса элемента объема dV' равна ρ2(x', y', z')dx' dy' dz'. Силу, с которой первая из этих масс притягивается второй, можно представить в виде

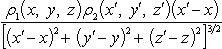
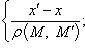
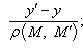
где e - единичный вектор, сонаправленный с вектором . Координаты вектора е равны .

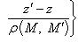
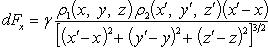
Так как ρ(M, M') = [(x' - x)2 + y' - y)2 + z' - z)2]1/2, то составляющую силы dF по оси Ox можно записать в виде

     (*)

Чтобы найти составляющую по оси Ox силы, с которой тело T1 притягивается телом T2, нужно просуммировать выражения (*) по всем элементам объемов тел T1 и T2, или, более точно, нужно проинтегрировать по телам T1 и T2. Таким образом, составляющая Fx искомой силы F выражается 6-кратным интегралом:

Говорят, что этот интеграл берется по произведению тел T1 и T2. Аналогично выражаются составляющие Fy и Fz силы F.


решения других задач по данной теме



© 2006-2026 ПМ298
info@pm298.ru
     Электронный справочник по математике: математические формулы по алгебре и геометрии, высшая математика, математика, математические формулы. Задачи с решениями, примеры и задачи по математике, бесплатные решения задач, матрицы , медиана , функция , пирамида

     Примеры решения задач: даны два материальных тела: T_1 с плотностью р_1(x, y, z) и T_2 с плотностью р_2(x, y, z). Найти силу F притяжения тела T_1 телом T_2.