Прикладная математика
                               Cправочник математических формул
                                          Примеры и задачи с решениями

Алфавитный указатель  а б в г д е ж з и к л м н о п р с т у ф х ц ч ш щ э ю я  

  • Математические формулы

  • Примеры решения задач

  • Некоторые постоянные
  • Элементарная геометрия
  • Геометрические преобразования
  • Начала анализа и алгебры
  • Уравнения и неравенства
  • Аналитическая геометрия
  • Высшая алгебра
  • Дифференциальное исчисление
  • Дифференциальная геометрия
  • Интегральное исчисление
  • Комплексный анализ
  • Элементы теории поля
  • Тензорное исчисление
  • Дифференциальные уравнения
  • Математическая логика
  • Теория вероятностей и
     математическая статистика





     Формулы / Теория вероятностей и математическая статистика / Математическая статистика / 1 2 3


     Функция правдоподобия для оценки неизвестного параметра распределения случайной величины X

     В дискретном случае

где - выборочные значения.

     В абсолютно непрерывном случае

где - плотность распределения X.


     Доверительные интервалы с коэффициентом доверия p в случае нормально распределенной генеральной совокупности

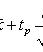
     1. Для математического ожидания при известной дисперсии

где tp - корень уравнения ; - функция Лапласа.

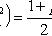
     2. Для математического ожидания при неизвестной дисперсии

s2 - выборочная дисперсия; tp удовлетворяет условию P(|tn-1| < tp) = p; tn-1 - случайная величина, распределенная по закону Стьюдента с n - 1 степенями свободы.

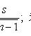
     3. Для дисперсии

где , находятся из условий:

- случайная величина, распределенная по закону с n - 1 степенями свободы.


-1-2-3-



© 2006- 2026  ПМ298
info@pm298.ru
     Электронный справочник по математике: математические формулы по алгебре и геометрии, высшая математика, математика, математические формулы. Задачи с решениями, примеры и задачи по математике, бесплатные решения задач, матанализ , формула интегрирования по частям

     Функция правдоподобия для оценки неизвестного парамера а распределения случайной величины Х, доверительные интервалы с коэффициентом доверия p в случае нормально распределенной генеральной совокупности.